
Updated August 2, 2023
In most areas, you don't need a permit to have a dumpster rental placed on your driveway or other personal property.
There are plenty of instances, however, that require you to first get a dumpster permit from your local municipality.
More often than not, you can rely on the company you rent a dumpster from to get a dumpster rental permit for you.
That being said, there are some areas in the U.S. where the homeowner or business owner is responsible for getting the dumpster rental permit themselves.
If you find yourself in this situation and are wondering how to get a dumpster rental permit, this article is for you.
We'll look into:
- When a Dumpster Permit Is Required
- How to Get a Dumpster Permit
- An Example of a Dumpster Permit Application
Find a dumpster rental company in your area
When a Dumpster Permit Is Required
You will more than likely need a permit if you plan on having your dumpster rental placed in a public street or blocking any public right-of-way, like a sidewalk.
Areas that require a dumpster permit:
- City streets
- Sidewalks
- Alleyways
- City-owned property (parking lots, etc.)
A licensed and reputable dumpster rental company should have no problem obtaining a dumpster rental permit on your behalf if required.
Most cities do not require a dumpster permit when the dumpster is placed on private property and is not blocking the public right of way.
Areas that typically do not require a dumpster permit:
- Your driveway
- Private land
- Commercial private property
While the general rules stated above are typical in most US cities, some local governments may require permits in varying circumstances.
It’s important to check with your local government public works department, or the department in charge of permitting, to find specific laws for your location. When applicable, don't forget to check with your HOA to make sure you don't get hit with unexpected fines for not following protocol.
Learn more:
- How to Rent a Dumpster with Hometown
- What to Look for in Dumpster Rental Reviews Before Hiring
- How Much Is a Small Dumpster Rental?
How to Get a Dumpster Permit
Dumpster permit applications are generally short and normally take less than 20 minutes to complete.
In some cities, like Denver, Colorado, the dumpster rental company must fill out and obtain the permit, not the renter. In other cities, the homeowner, business owner, or contractor may be responsible for obtaining it.
Check with your dumpster rental provider to determine the requirement in your city.
Step 1
Contact several dumpster rental providers near you and discuss your project needs in detail for accurate rental quotes.
We recommend calling around to at least 3 different dumpster rental companies to make sure that you're getting the best price for your rental.
If it’s determined that a dumpster permit is necessary, make arrangements with the dumpster rental company you hire to obtain it.
Step 2
If the dumpster provider agrees (or is required) to get the dumpster permit on your behalf, your job is done!
If you are the one obtaining the permit, move to the next step.
Step 3
Contact your local public works or transportation department by telephone or online.
If you're not sure which city department handles permitting, contact the main office line and they will point you in the right direction.
A quick Google search will help you find your local public works department contacts quickly and accurately.
Step 4
Fill out the application required by your city and pay the fee if applicable. The application is oftentimes accessible online but the person you speak with at your public works department will be able to give you the most accurate information on how to get one.
Once completed, you can mail, drop off, or submit the application online. Allow several days to a week for processing.
Step 5
Once the permit is approved, be sure the city rules are followed to ensure compliance and avoid penalty fees.
Common rules include placing traffic cones on both sides of the dumpster, reflective tape on the sides of the dumpster, making sure the permit is visible on the dumpster, etc.
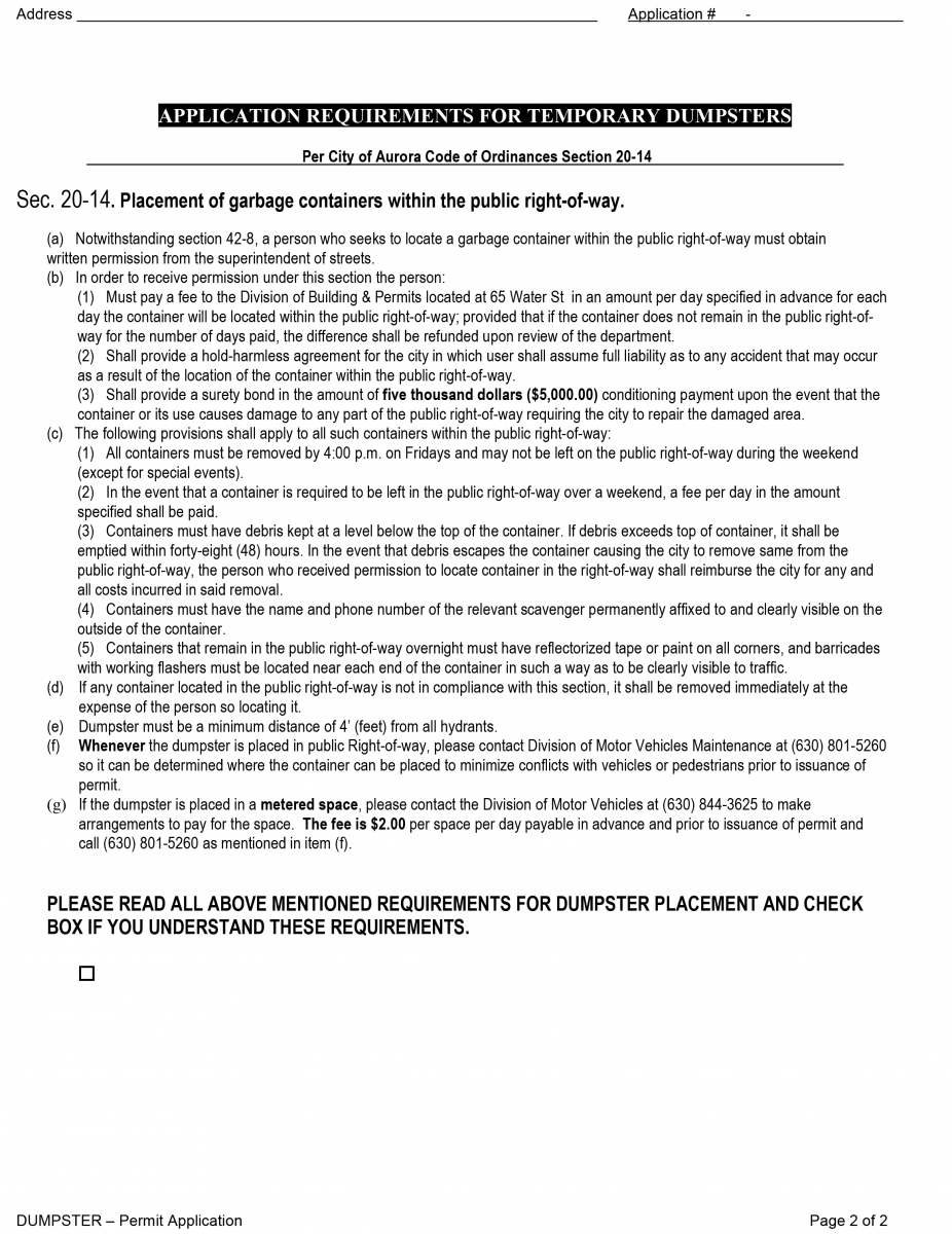
An Example of a Dumpster Permit Application
Here is an example of what a typical dumpster permit application looks like.
Aurora, IL residents can download this application here.

Search for a licensed dumpster rental company near you
Continue reading:


